· 痕量氨基代謝物
項目背景
生物體中含氨基的代謝物很多,包括蛋白質氨基酸、脂肪胺、芳香胺、小肽、兒茶酚胺、痕量胺、單胺類神經遞質等。這些氨基代謝物在生物體內涵蓋多個代謝通路,均都發揮著重要的生物學作用,但是濃度差別巨大,常規的檢測方法往往能檢測到豐度較高的蛋白質氨基酸,對于含量極低的兒茶酚胺、痕量胺、單胺類神經遞質這類物質,缺乏有效的檢測方法。
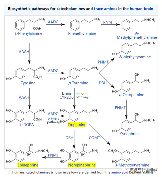
兒茶酚胺(Catecholamine, CA)是具有兒茶酚和胺基的神經類物質,最重要的兒茶酚胺是腎上腺素、去甲腎上腺素和多巴胺,均是從苯丙氨酸和酪氨酸合成。
痕量胺(Trace amine, TA)是一類與經典的生物胺(如兒茶酚胺類、血清素、組胺)結構類似的內源性物質,包括酪胺、苯乙胺、甲氧酪胺和章魚胺等,由AADC等介導脫羧形成。它們是痕量胺相關受體(TAAR)激動劑,在結構和功能上類似單胺類神經遞質。
單胺類神經遞質(Monoamine neurotransmitter)包括兒茶酚胺和吲哚胺兩大類,吲哚胺主要是5-羥色胺,都是從芳香族氨基酸(苯丙氨酸、酪氨酸、色氨酸)和甲狀腺激素衍生而來。
檢測意義
兒茶酚胺是重要的典型的腎上腺素受體激動劑。嗜鉻細胞瘤和副神經節瘤(Pheochromocytoma and paraganglioma, PPGL)會合成、分泌和釋放大量CA,引起患者血壓升高和代謝性改變等一系列臨床癥候群,并造成心、腦、腎、血管等嚴重并發癥甚至死亡。嗜鉻細胞瘤和副神經節瘤診斷治療專家共識(2020版)將檢測血或尿中的甲氧基腎上腺素(Metanephrine, MN)、甲氧基去甲腎上腺素(Normetanephrine, NMN)、腎上腺素(Epinephrine, E)、去甲腎上腺素(Norepinephrine, NE)、多巴胺(Dopamine, DA)、甲氧酪胺(3-Methoxytyramine, 3-MT)、高香草酸(Homovanillic acid, HVA)和香草扁桃酸(Vanilmandelicacid, VMA)的濃度作為輔助診斷結果。
單胺類神經遞質及其代謝產物對心血管、神經、內分泌等組織系統有著廣泛的調節作用,并對如睡眠覺醒、情感、情緒、應激行為等生理活動產生重要影響。對單胺類神經遞質含量變化的測量,還能對抑郁癥、阿爾茨海默癥、唐氏綜合癥等疾病進行輔助診斷。痕量胺在功能上類似單胺類神經遞質。
檢測指標
樣品要求
技術優勢
我公司可一針定量測定15+種痕量氨基代謝物,包括3種兒茶酚胺、7種痕量胺、10余種單胺神經遞質。覆蓋多條重要的代謝途徑,包括兒茶酚胺和痕量胺的生物合成,5-羥色胺的生物合成等,方法具有用樣量少、靈敏度高、穩定可靠等優點。
應用示例
1)Curr Med Chem丨兒茶酚胺與心血管疾病
標題:Contribution of Catecholamine Reactive Intermediates and Oxidative Stress to the Pathologic Features of Heart Diseases
摘要:心力衰竭 (HF) 和缺血再灌注 (I/R) 損傷,其特點是血漿和間質中兒茶酚胺水平持續升高,產生活性氧 (ROS) 和活性氮(RNS)。兒茶酚胺過量導致的心臟有害作用與腎上腺素受體有關,也有證據表明氧化應激也起重要作用。在這篇綜述中,將特別關注涉及兒茶酚胺和氧化應激的心臟病理學研究。
鏈接:https://doi.org/10.2174/092986711795656081
2)Neuron丨神經遞質與抑郁癥
標題:Altered Connectivity in Depression: GABA and Glutamate Neurotransmitter Deficits and Reversal by Novel Treatments摘要:抑郁癥和慢性壓力暴露會導致與抑郁癥有關的皮質和邊緣大腦區域的神經元萎縮,而腦成像研究表明抑郁癥患者大腦中的連通性和網絡功能發生了改變。對這些改變的神經生物學基礎的研究主要集中在興奮性谷氨酸神經元和抑制性 GABA 神經元上。針對這兩種代謝物的的新型速效藥物有望解決目前藥物的滯后性和療效不易評估的缺點。
鏈接:https://doi.org/10.14814/phy2.14108
咨詢及訂購可點擊☞聯系我們



